Kamu akan diajak untuk memahami materi hingga metode menyelesaikan soal. Buatlah notasi sigma dari 3 5 7 9.
Pengertian Rumus Dan Sifat Sifat Notasi Sigma
Dalam mempelajari statistik wajib hukumnya memahami sifat dari notasi sigma.
Contoh soal sifat sifat notasi sigma. Untuk lebih lengkapnya sobat bisa simak ulasan yang sudah contohsoalcoid rangkum dibawah ini. Terdapat banyak sekali contoh kasus atau model soal notasi sigma yang bisa anda teukan karena sejatinya untuk menguji pemahaman anda soal matematika selalu dibolak balik. Notasi sigma setelah sebelumnya contohsoalcoid telah menerangkang materi tentang rumus akar kuadrat namun dipertemuan kali ini contohsoalcoid akan membahas materi tentang notasi sigma beserta pengertian rumus sifat dan contoh soalnya.
Cara yang tepat dilakukan untuk mempelajari pengertian rumus dan sifat sifat notasi sigma adalah melihat penggunaannya dalam menyelesaikan soal. Adapun sifat sifat notasi sigma yakni. Notasi sigma pengertian materi sifat rumus contoh soal by rama ardiyanto posted on june 19 2019 rumuscoid setelah sebelumnya kita membahas tentang spltv kali ini kita akan membahas materi tentang notasi sigma lengkap kita akan jabarkan secara detail dan lengkap dari pengertian materi sifat sifat rumus dan contoh soal.
Berikut ini adalah contoh soal dan pembahasan notasi sigma. Notasi sigma adalah jumlah dari fungsi yang domainnya telah ditentukan batas awal dan batas akhirnya. Sehingga sobat idschool dapat melihat secara langsung penggunaan notasi sigma dalam menyelesaikan masalah.
Kumpulan soal mudah sedang sukar. Notasi sigma dapat digunakan untuk menyederhanakan penulisan deret suatu bilangan terurut dengan pola tertentu dengan ringkas dan sederhana. Dengan menggunakan sifat notasi sigma buktikan bahwa.
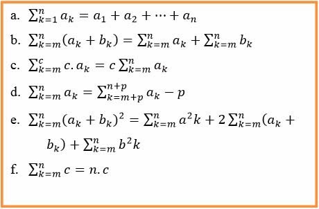
Berikut ini adalah beberapa sifat dari sigma yang sering digunakan. Di sini kamu akan belajar tentang sifat notasi sigma melalui video yang dibawakan oleh bapak anton wardaya. Kami telah mewarnai masing masing sifat tersebut guna lebih memudahkan untuk mengerjakan 5 soal di bawah ini.
Notasi sigma dilambangkan dengan s. Jika anda paham konsep sebenarnya maka bagaimanapun bentuk kasusnya akan dengan mudah untuk dikerjakan. Saking seringnya ketika seseorang melihat notasi sigma ini ia akan langsung teringat dengan statistik.
Materi notasi sigma memang rasanya tidak begitu menguras otak sehingga kita dapat dengan cepat mempelajarinya. Dalam ilmu statistik notasi ini adalah notasi yang paling sering digunakan. Semangatlah dan setiap mempelajari materi matematika yang ada maka hasilnya akan maksimal.
Secara sederhana sigma bisa kita artikan sebagai jumlahpenggunaan notasi sigma sebagai operator penjumlahan sangat erat kaitannya dengan deret suatu bilangan. Contoh soal notasi sigma. Sifat sifat umum notasi sigma.
Diatas merupakan sifat sifat notasi sigma matematika yang sudah ditentukan dan mungkin bisa kalian lihat contoh soal notasi sigma dibawah ini yang bisa membantu memudahkan kalian dalam memahami sifat sifat notasi sigma tersebut.
Pengertian Rumus Dan Sifat Sifat Notasi Sigma Matematika
Pengertian Dan Contoh Soal Notasi Sigma Rumus Matematika
Pengertian Rumus Dan Sifat Sifat Notasi Sigma Matematika
Pengertian Sifat Dan Rumus Notasi Sigma Matematika
Pengertian Rumus Dan Sifat Sifat Notasi Sigma Matematika
Pengertian Dan Contoh Soal Notasi Sigma Rumus Matematika
Soal Dan Pembahasan Notasi Sigma 1 5 Istana Mengajar
Pengertian Sifat Dan Rumus Notasi Sigma Matematika
Sifat Sifat Notasi Sigma Statmatid
Soal Dan Pembahasan Notasi Sigma 1 5 Istana Mengajar
Materi Notasi Sigma Learn To Care Share
Ruang Belajar Siswa Kelas 1 Contoh Soal Notasi Sigma Kelas 11
Memahami Konsep Dan Contoh Soal Notasi Sigma Statmatid
Pengertian Dan Contoh Soal Notasi Sigma Rumus Matematika
Pengertian Notasi Sigma Rumus Dan Sifat Sifatnya
Ruang Belajar Siswa Kelas 1 Contoh Soal Notasi Sigma Kelas 11
Notasi Sigma Pengertian Materi Sifat Rumus Contoh Soal
Pengertian Dan Contoh Soal Notasi Sigma Rumus Matematika
Notasi Sigma Materi Lengkap Matematika Sma Smk Ma
Contoh Soal Barisan Dan Deret Aritmatika Geometri
Pengertian Dan Contoh Soal Notasi Sigma Rumus Matematika
Soal Dan Pembahasan Notasi Sigma 1 5 Istana Mengajar
Pengertian Sifat Dan Rumus Notasi Sigma Matematika
Soal Dan Pembahasan Notasi Sigma 1 5 Istana Mengajar
Materi Notasi Sigma Learn To Care Share
Memahami Konsep Dan Contoh Soal Notasi Sigma Statmatid
Contoh Soal Barisan Dan Deret Aritmatika Geometri
Notasi Sigma Dan Sifat Sifatnya Konsep Matematika Koma
Sequences And Series Notasi Sigma
Notasi Sigma Pengertian Rumus Sifat Dan Contoh Soal
Contoh Soal Notasi Sigma Beserta Pembahasannya
18 Soal Soal Notasi Sigma Barisan Deret Dan Induksi
Buktikan Notasi Sigma By Request Lidion Sapan
Pelajaran Soal Rumus Notasi Sigma Wardaya College
Bab 6 Notasi Sigma Barisan Dan Deret
Soal Dan Pembahasan Notasi Sigma 1 5 Istana Mengajar
Buktikan Pembuktian Sigma I Brainly Co Id
Notasi Sigma Konsep Sifat Sifat Contoh Soal Dan
Pdf Notasi Penjumlahan Sigma Dan Perkalian Produk
Pelajaran Soal Rumus Sifat Notasi Sigma Wardaya College
Berikut Ini Adalah Sifat Sifat Notasi Singma Buatlah 2
Pengertian Notasi Sigma Dan Sifatnya Beserta Contoh Soal
Penerapan Sifat Kelinearan Sigma Untuk Menentukan Rumus
Cara Merubah Batas Bawah Notasi Sigma
Pelajaran Soal Rumus Sifat Notasi Sigma Wardaya College
Soal Dan Pembahasan Notasi Sigma Mathcyber1997
Ruang Belajar Siswa Kelas 1 Contoh Soal Notasi Sigma Kelas 11
Doc Bagian I Novana Ulil Albab Academia Edu
Contoh Soal Barisan Dan Deret Aritmatika Geometri
Notasi Sigma Dan Sifat Sifatnya Dalam Matematika Blog
Memahami Konsep Dan Contoh Soal Notasi Sigma Statmatid
Matematika Mata Pelajaran Wajib Disusun Oleh Suparno
Index Of Wp Content Uploads 2017 12
Contoh Soal Barisan Dan Deret Aritmatika Geometri
Contoh Soal Barisan Dan Deret Aritmatika
Revisi Antiremed Kelas 11 Matematika Wajib Sifat Sifat
Doc Contoh Soal Barisan Dan Deret Aritmatika Geometri
Notasi Sigma Pengertian Materi Sifat Rumus Dan Contoh
Notasi Sigma Materi Lengkap Matematika Sma Smk Ma
Pengertian Dan Contoh Soal Notasi Sigma Rumus Matematika
Ubahlah Notasi Sigma Berikut Menjadi Notasi Sigma Dengan
Soal Dan Pembahasan Notasi Sigma
Index Of Wp Content Uploads Backup 2017 11
Notasi Sigma Ika Nurhamdiyah Academia Edu
Notasi Sigma Pengertian Dan Contoh Soal Jago Matematika
Ruang Belajar Siswa Kelas 1 Contoh Soal Notasi Sigma Kelas 11
Matematika Sma Ipa Barisan Dan Deret Bintang Wahyu
Notasi Sigma Baris Aritmetika Geometri Bank Soal Matematika 23
Tujuan Pembelajaran Setelah Mempelajari Bab Ini
Pengertian Dan Contoh Soal Notasi Sigma Rumus Matematika
2 Dapat Merubah Suatu Penjumlahan Bilangan Ke Dalam Notasi
Ruang Belajar Siswa Kelas 1 Contoh Soal Notasi Sigma Kelas 11
Notasi Sigma Teckiassassin S Blog
Contoh Soal Barisan Dan Deret Aritmatika Geometri
Pengertian Rumus Dan Sifat Sifat Notasi Sigma Dan Induksi
N Notasi Sigma Barisan Deret Dan Induksi Sifat Sifat
Pelajaran Soal Rumus Pengertian Notasi Sigma Wardaya
Matematika Mata Pelajaran Wajib Disusun Oleh Suparno
Notasi Sigma Untuk Menyatakan 2 6 10 14 18 130 134
Index Of Wp Content Uploads 2017 12
Contoh Soal Barisan Dan Deret Aritmatika Geometri
Kumpulan Soal Notasi Sigma Videos Kumpulan Soal Notasi
Pengertian Dan Contoh Soal Notasi Sigma Rumus Matematika









