Namun dipertemuan sebelumnya kami telah membahas mengenai contoh soal fungsimari kita pelajari dengan seksama penjelasan lengkapnya berikut ini. 1 tentukan hasil dari.
Limit Tak Hingga Fungsi Aljabar Materi Lengkap Matematika
Mungkin materi tersebut mudah bagi anda yang sudah menguasainya.
Contoh soal limit fungsi aljabar tak hingga dan pembahasan. Untuk lebih jelasnya ikutilah contoh soal berikut ini. Soal soal tersebut diambil dari berbagai sumber referensi termasuk dari soal ujian nasional soal sbmptn dan soal tingkat olimpiade. Untuk memudahkan silahkan juga baca materi pengertian limit fungsi dan penyelesaian limit fungsi aljabar.
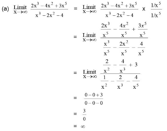
Home limit ujian nasional pembahasan soal un limit fungsi aljabar pembahasan soal un limit fungsi aljabar by zero maker thursday february 16 2017. Jawab dari contoh di atas dapat disimpulkan bahwa penyelesaian limit tak hingga fungsi aljabar pecahan ditentukan oleh koefisien dari variable pangkat tertinggi. Lim x termasuk juga limit x 0 mulai dari yang mudah dulu tipe soal soal limit yang bisa diselesaikan dengan substitusi langsung seperti contoh berikut.
Pembaca diharapkan sudah menguasai teori limit fungsi aljabar dan trigonometri. Limit x a. Materi tentang pengertian definisi dan rumus limit matematika baik itu rumus limit tak hingga maupun limit fungsi serta contoh soal dan pembahasan.
Berikut ini merupakan soal dan pembahasan tentang limit tak hingga. Dan bentuk ini cocok dengan limit fungsi trigonometri yang akan kita bahas dalam artikel limit tak hingga fungsi trigonometri. Soal dan pembahasan limit tak hingga today quote tak pernah buat status otw tak pernah buat status jalan ke mana mana makan di restoran mana mobilnya apa.
Bukan berarti tak punya kehidupan sebab tak semua hal perlu dipamerkan sebab kehidupan dunia tak perlu pengakuan sebab ada hati yang perlu dijaga dan sebab tak semua. Limit tak hingga fungsi trigonometri ini ternyata soalnya dikeluarkan pada sbmptn 2017 matematika ipa atau matematika saintek satu soal disetiap kodenya. Contoh soal limit tak hingga dan jawabannya pada kesempatan kali ini saya akan memberikan beberapa contoh soal dan juga pembahasannya salah satu materi pelajaran matematika.
Pembahasan limit bentuk. Materi yang akan dibahas kali ini yaitu limit. Khusus pada limit tak hingga pada artikel ini kita akan lebih menitik beratkan pada fungsi aljabar saja.
Untuk limit tak hingga fungsi trigonometri akan kita bahas pada artikel lain secara khusus dan lebih mendalam. Contoh soal limit materi makalah pembahasan kali ini mengenai contoh soal limit beserta pengertian sifat sifat limit teorima limi dan contoh soalnya.
Limit Tak Hingga Fungsi Aljabar Materi Lengkap Matematika
Limit Tak Hingga Fungsi Aljabar Materi Lengkap Matematika
Soal Dan Pembahasan Limit Tak Hingga Bentuk Akar 1 3
Rumus Limit Matematika Fungsi Tak Hingga Contoh Soal
Limit Tak Hingga Fungsi Aljabar Materi Lengkap Matematika
Limit Fungsi Aljabar Tak Terhingga
Limit Tak Hingga Fungsi Aljabar Materi Lengkap Matematika
Rumus Limit Matematika Fungsi Tak Hingga Contoh Soal
Rumus Cara Menentukan Limit Tak Hingga
Rumus Cara Menentukan Limit Tak Hingga
Kumpulan Soal Limit Fungsi Trigonometri
Limit Fungsi Aljabar Materi Rumus Metode Contoh Soal
10 Soal Dan Pembahasan Limit Fungsi Trigonometri
Limit Tak Hingga Fungsi Aljabar Materi Lengkap Matematika
Limit Fungsi Aljabar Tak Terhingga
Soal Dan Pembahasan Limit Fungsi Aljabar Dan Trigonometri 1
Kumpulan Soal Limit Fungsi Trigonometri
Contoh Soal Limit Trigonometri Terbaru Kelas 11 12
Pembahasan Sbmptn 2017 Limit Tak Hingga Trigonometri
10 Soal Dan Pembahasan Limit Fungsi Trigonometri
10 Soal Dan Pembahasan Limit Fungsi Trigonometri
Limit Fungsi Aljabar Definisi Sifat Metode
Soal Dan Pembahasan Limit Tak Hingga Bentuk Akar 1 3
Limit Fungsi Aljabar Tak Terhingga
Contoh Soal Limit Trigonometri Tak Hingga Pdf Crimsontotal
Tuliskan 20 Soal Dan Jawaban Tentang Limit Tak Hingga Limit
Contoh Soal Limit Belajar Sastra Dan Seni
Limit Fungsi Aljabar Materi Rumus Metode Contoh Soal
Rangkuman Contoh Soal Pembahasan Limit
Soal Dan Pembahasan Limit Fungsi Aljabar Dan Trigonometri 1
Tips Mengerjakan Soal Limit Fungsi Aljabar Bentuk Tak Tentu
Limit Fungsi Aljabar Nol Per Nol
Rumus Cepat Mengerjakan Limit Tak Hingga
Contoh Soal Limit Contoh Soal Dan Contoh Pidato Lengkap
Contoh Ke 1 Limit Fungsi Trigonometri
Konsep Mudah Limit Tak Hingga Trigonometri Part 1
Limit Fungsi Rumus Macam Dan Contoh Soal Rumus Pintar
Limit Fungsi Trigonometri Materi Lengkap Matematika Sma Smk Ma
Rumus Cara Menentukan Limit Tak Hingga
Limit Fungsi Aljabar Tak Terhingga
Soal Dan Pembahasan Limit Fungsi Aljabar Dan Trigonometri 1
Limit Fungsi Aljabar Definisi Sifat Metode
Kumpulan Soal Limit Fungsi Trigonometri
Limit Tak Hingga Trigonometri Polinomial Pecahan Eksonensial
Bank Soal Dan Pembahasan Matematika Dasar Limit Fungsi
Rangkuman Contoh Soal Pembahasan Limit
Contoh Soal Limit Trigonometri Tak Hingga Pdf
Tips Mengerjakan Soal Limit Fungsi Aljabar Bentuk Tak Tentu
Soal Dan Pembahasan Limit Fungsi
Limit Fungsi Aljabar Definisi Sifat Metode
Bank Soal Dan Pembahasan Matematika Dasar Limit Tak Hingga
Contoh Soal Limit Fungsi Kumpulan Soal Pelajaran 6
Tips Mengerjakan Soal Limit Fungsi Aljabar Bentuk Tak Tentu
Belajar Limit Fungsi Aljabar Ikbalmatematika23
Cara Menentukan Nilai Limit Fungsi Trigonometri
Rumus Cepat Dalam Mengerjakan Limit Tak Hingga
Bank Soal Dan Pembahasan Matematika Dasar Limit Fungsi
Contoh Soal X Mendekati 0 Kumpulan Soal Pelajaran 5
Kumpulan Soal Limit Fungsi Trigonometri
Rumus Limit Matematika Fungsi Tak Hingga Contoh Soal
Limit Fungsi Trigonometri Makalah Rumus Teorema Contoh Soal
Soal Dan Pembahasan Limit Fungsi Aljabar Dan Trigonometri 1
Kumpulan Soal Limit Fungsi Trigonometri
Limit Fungsi Aljabar Nol Per Nol
Limit Fungsi Pengertian Rumus Dan Contoh Soalnya Lengkap
20 Contoh Limit Fungsi Trigonometri Tak Hingga Dahlan M Pd
Contoh Soal Limit Trigonometri Terbaru Kelas 11 12
Cara Mudah Mengerjakan Soal Limit Fungsi Aljabar Bentuk Tak
Contoh Soal X Mendekati 0 Kumpulan Soal Pelajaran 6
Kumpulan Soal Limit Fungsi Trigonometri
Soal Dan Pembahasan Limit Fungsi Aljabar Dan Trigonometri
Contoh Soal Limit Tak Hingga Dan Pembahasannya Bank Soal
Limit Fungsi Aljabar Materi Rumus Metode Contoh Soal
23 Limit Fungsi Trigonometri Tak Hingga Dahlan M Pd
Limit Tak Hingga Fungsi Aljabar Materi Lengkap Matematika
Contoh Ke 2 Limit Fungsi Trigonometri
Contoh Soal Limit Fungsi Kumpulan Soal Pelajaran 6
Contoh Soal Limit Fungsi Trigonometri Aljabar Pembahasan
Contoh Soal Limit Fungsi Trigonometri Aljabar Pembahasan
Cara Menyelesaikan Soal Limit Fungsi Aljabar Lengkap Dengan
Limit Trigonometri Rumushitung Com
Penyelesaian Limit Tak Hingga Konsep Matematika Koma
Cara Mencari Dan Menentukan Limit Fungsi Tak Hingga Jago
Rangkuman Contoh Soal Pembahasan Limit
Contoh Soal Limit Fungsi Trigonometri Aljabar Pembahasan
Rumus The King Limit Fungsi Trigonometri Belajar Tumbuh
Contoh Soal Limit Fungsi Aljabar Tak Terhingga Brainly Co Id
Contoh Soal Limit Fungsi Trigonometri Aljabar Pembahasan
Soal Limit Fungsi Trigonometri
Limit Fungsi Trigonometri Makalah Rumus Teorema Contoh Soal







